諾元視頻號

由于電動機的應用需求在很大程度上決定了線圈繞組的要求,因此槽滿率對線圈設計提出了挑戰,槽滿率是指線圈放入插槽后所占空間的比例,槽的大小和數量決定了每個線圈中可以包含多少根導線,導線的直徑決定了可以通過線圈的電流量。

槽滿率是定子槽中的銅線占據的橫截面積與裸槽中的總可用空間的比值,實際上,理論上100%的槽滿率將導致電動機的轉矩輸出高。但是,這樣的設計時無法實現的。因此,槽滿率始終小于1,并且插槽中的絕緣槽襯,楔塊和分相器將占用一些可用空間,導線上的絕緣層減小了導電材料的橫截面積,線圈繞組中通常使用的圓線,無論該排列的有效性如何,都會留下一定的間隙,平均而言,銅線約占整個槽填充量的70%左右,對于以功率密度為重點的應用,可能會出現更高的槽滿率,但是隨著插槽滿率的增加,制造復雜性會增加,這也會導致成本增加并增加,也容易出現質量問題。
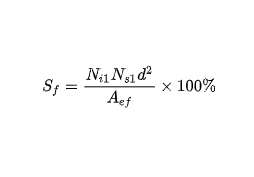
電動機的槽滿率通常為70-75%,那么電動機定子槽滿率如何計算?

一般來說,它是導線的橫截面積與槽的有效面積之比X100%,在計算槽滿率時直接使用下面公式即可。d代表電線的直徑,Ni1\Ns1分別為繞組匝數和并繞根數,Aef為槽有效面積記得要減去槽絕緣所占的面積。